镉与老年痴呆有关:健尔圣唐小江团队再次在国际权威期刊发表重磅论文
2026年4月7日,广东健尔圣医药科技有限公司唐小江博士团队再次在国际神经毒理学权威期刊《Neurotoxicology》发表重磅论文《Cadmium Exposure and Cognitive Impairment in Middle-Aged and Older Adults: Linking Neurocognitive Deficits with Systemic Inflammation》,揭示镉暴露可能与老年痴呆等认知衰退有关。这是该团队3月25日在同一期刊发表全球首个“镉暴露致脑灰质萎缩的影像学证据”,以及4月1日在国际药学顶刊《Clinical Pharmacology & Therapeutics》发表全球首创化学一类新药“GMDTC治疗镉中毒I期临床试验报告”后,两周内发表的第3篇镉研究国际期刊论文,健尔圣已然成为引领国际重金属中毒防治研发的火车头。

镉:不仅是“痛痛病”元凶,更是大脑的隐形杀手
镉是全球广泛分布的强神经毒物,属于Ⅰ类致癌物。工业排放、烟草烟雾及受污染的农作物(如大米、蔬菜、中草药)均可成为其进入人体的途径。既往研究发现,镉与阿尔茨海默(老年痴呆)、帕金森病、儿童自闭症等多种神经疾病可能存在相关性。然而,镉如何具体影响中老年人的认知功能,长期缺乏系统的人群证据。本研究共纳入132名中老年人,通过尿液镉含量检测(ICP-MS)、严谨的神经认知评估(MCCB成套测验) 及多维度炎症标志物分析,首次在中国人群中得出了清晰、可量化的结论。
高镉暴露,大脑“全面滑坡”
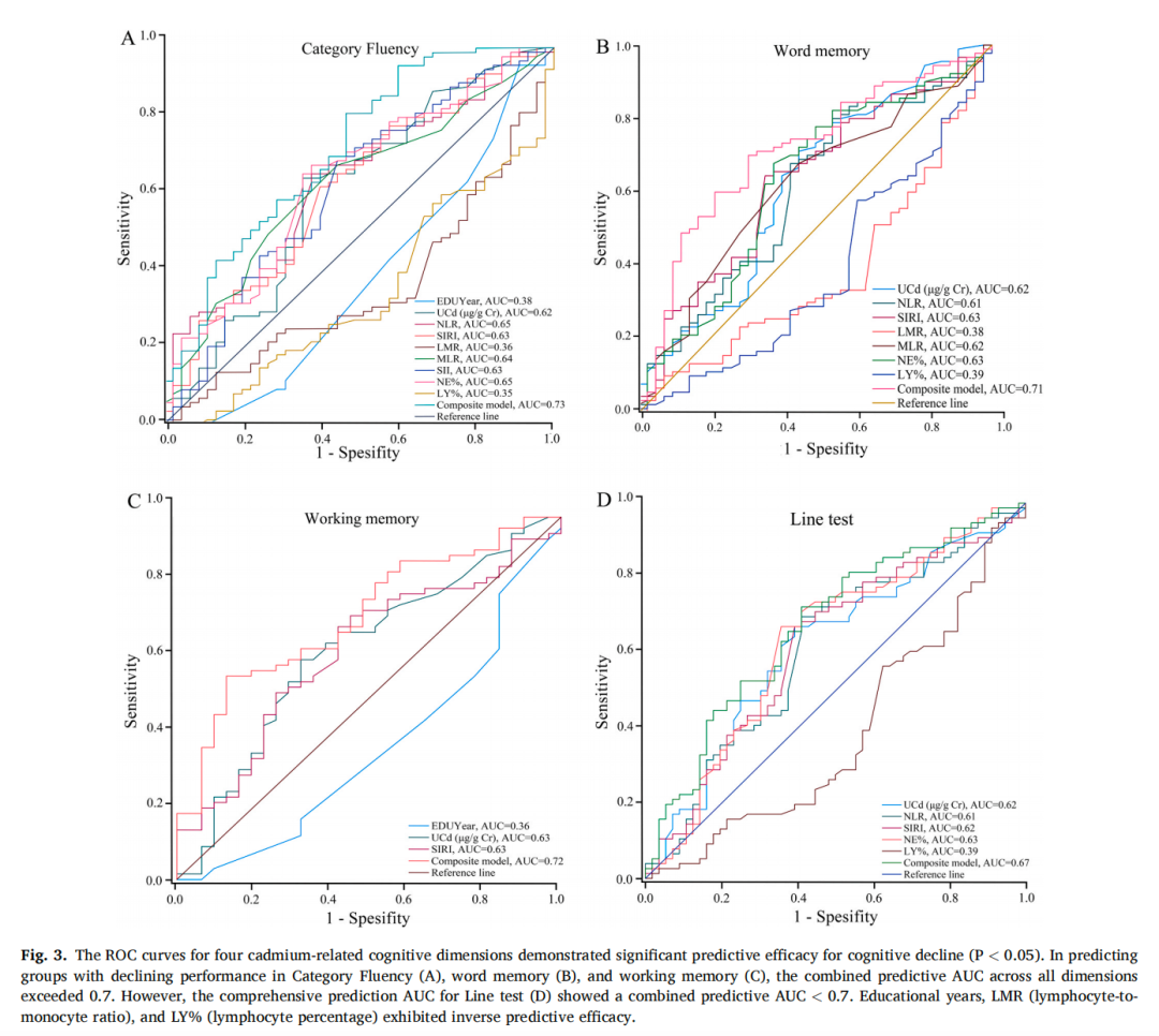
与低镉暴露人群相比,高镉暴露人群在工作记忆、词语记忆、问题处理与解决、视觉记忆四个核心维度及整体认知能力上均显著下降,且尿镉水平越高,词语记忆越差。令人警醒的是,16.7%-21%的镉暴露个体符合轻度认知障碍诊断标准——每5名镉暴露的中老年人中,就有1人处于老年痴呆前驱期。

机制揭秘:系统性炎症或是“毁灭性桥梁”
高镉暴露组的SII、SIRI、NLR、MLR等炎症指标均显著升高,证实镉暴露通过可能诱发全身性低度炎症反应损伤中枢神经。未来或通过尿镉检测和血常规炎症指标,即可早期识别认知衰退高风险人群。

预警阈值与发展趋势:尿镉超过3.85-5.75 μg/g肌酐时认知风险显著增加。本研究给全球数亿面临认知衰退风险的中老年人敲响了警钟,也为GMDTC用于改善重金属相关神经认知损伤(如老年痴呆、自闭症)指明了方向。

本文由广东健尔圣医药科技有限公司创始人唐小江博士为通讯作者,香港中文大学(深圳)医学院、中南大学湘雅二医院、广州医科大学附属脑科医院、湖南省职业病防治院、四川大学华西四院等共10位作者合作完成,苏国辉院士给予了指导。
